bases débiles. el ph de una base débil cae en algún lugar entre 7 y 10. como los ácidos débiles, las bases débiles no sufren una disociación completa; en cambio, su ionización es una reacción de dos vías con un punto de equilibrio definido. mientras que las bases fuertes liberan iones de hidróxido a través de la disociación, las.. Ca (OH) 2. Sr (OH) 2. Ba (OH) 2. El problema es similar con las bases: una base fuerte es una base que está 100% ionizada en solución. Si está menos del 100% ionizado en solución, es una base débil. Hay muy pocas bases fuertes (Cuadro 12.5.1 12.5. 1 ); cualquier base que no figure en la lista es una base débil.

PPT REACCIONES DE ACIDOS Y BASES PowerPoint Presentation, free download ID4425007

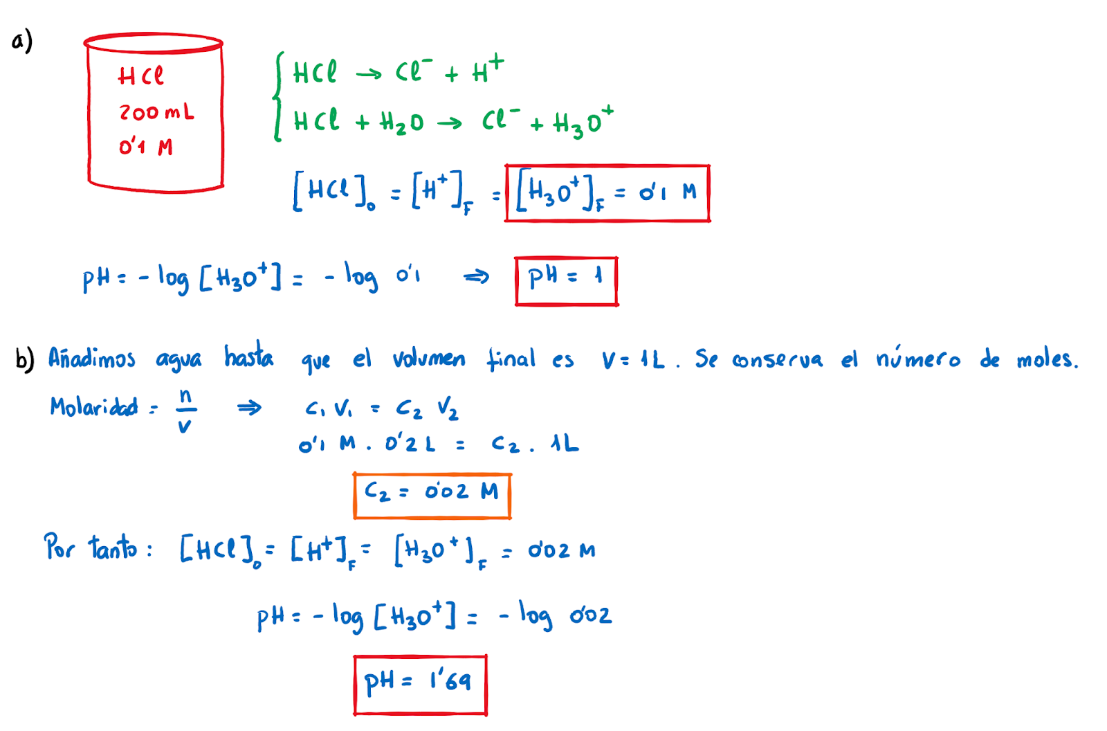
¿Cuál es la diferencia entre ácidos y bases fuertes y debiles? profesor10demates

Si eres débil o fuerte Desmotivaciones

Ácidos fuertes y débiles. Constante de acidez. Ácidos polipróticos Física Química

3.6.2. Fortaleza de ácidos Química general

ÁCIDOS Y BASES DÉBILES Y FUERTES clasificación , grado de disociación y pH Ejemplos YouTube

Electrolito fuerte concepto, características, ejemplos

Mezclas. Ácido débil+ ácido fuerte, Base débil + base fuerte YouTube

Acido debil base fuerte

Diferencia entre ácidos y bases fuertes y débiles (con ejemplos) Diferenciador

Práctica No.13. Neutralización de un ácido fuerte con una base fuerte. CINÉTICA Y EQUILIBRIO

Acidos y Bases

Diferencia entre ácido fuerte y ácido débil Opinion duel

弱電解質の定義と例

Base Fuerte química Electrolíto de carácter fuerte Química Wikisabio

8 señales para reconocer si tu marca es débil o fuerte Overblog

Mezcla acido fuertebase debil YouTube

PPT Acidos , Bases y Electrolitos PowerPoint Presentation, free download ID4710627

TRABAJOS DE BIOLOGIA

Neutralizacion
Los ácidos fuertes son muy pocos, sólo son siete los ácidos fuertes inorgánicos, por lo que para diferenciarlos fácilmente de los débiles se los puede memorizar; si no está en la lista, será un ácido débil. Los ácidos fuertes son el ácido clorhídrico (HCl), el ácido nítrico (HNO 3 ), el ácido sulfúrico (H 2 SO 4 ), el ácido.. Así: un ácido y una base son fuertes cuando se ionizan completamente, es decir, en el proceso de ionización se transforman completamente en cationes o iones positivos y en aniones o iones negativos. Por otro lado, un ácido y una base son débiles cuando en el agua se ionizan parcialmente, esto es, en solución habrá una proporción de.